Support
Kostenlose Download- und Informationsplattform
  • Wikipedia

C.I. Basic Green 1, Trivialname Brillantgrün (lateinisch Viride nitens) ist ein kationischer Farbstoff aus der Gruppe der Triphenylmethanfarbstoffe. Es ist in W

Brillantgrün (Farbstoff)

  • Startseite
  • Brillantgrün (Farbstoff)

C.I. Basic Green 1, Trivialname Brillantgrün (lateinisch Viride nitens) ist ein kationischer Farbstoff aus der Gruppe der Triphenylmethanfarbstoffe. Es ist in Wasser und Alkohol löslich, die Lösungen haben eine grüne Farbe. Im pH-Bereich zwischen 0,0 und 2,6 wechselt die Farbe von gelb zu grün.

Strukturformel
Struktur von Brillantgrün
Allgemeines
Name Brillantgrün
Andere Namen
  • Basic Green 1
  • Ethylgrün
  • Diamantgrün G
  • Malachitgrün G
  • 4-{[4-(Diethylamino)phenyl](phenyl)­methylen}-N,N-diethyl-2,5-cyclohexa­dien-1-iminiumhydrogensulfat (IUPAC)
Summenformel C27H34N2O4S
Kurzbeschreibung

grüner Feststoff mit schwachem Geruch

Externe Identifikatoren/Datenbanken
CAS-Nummer 633-03-4
EG-Nummer 211-190-1
ECHA-InfoCard 100.010.174
PubChem 12449
ChemSpider 11941
Wikidata Q427105
Eigenschaften
Molare Masse 482,64 g·mol−1
Aggregatzustand

fest

Dichte

1,126 g·cm−3

Schmelzpunkt

210 °C

Siedepunkt

Zersetzung im Bereich von 237 °C bis 279 °C

Löslichkeit

leicht in Wasser (100 g·l−1 bei 20 °C)

Sicherheitshinweise
GHS-Gefahrstoffkennzeichnung
Gefahrensymbol Gefahrensymbol Gefahrensymbol

Gefahr

H- und P-Sätze H: 302​‐​315​‐​317​‐​318​‐​410
P: 261​‐​273​‐​280​‐​301+312​‐​302+352​‐​305+351+338
Toxikologische Daten

313 mg·kg−1 (LD50, Ratte, oral)

Wenn nicht anders vermerkt, gelten die angegebenen Daten bei Standardbedingungen (0 °C, 1000 hPa).

Inhaltsverzeichnis

Eigenschaften

Brillantgrün ist ein brennbarer grüner Feststoff mit schwachem Geruch, der leicht löslich in Wasser ist. Er zersetzt sich ab einer Temperatur über 210 °C. Seine wässrige Lösung reagiert sauer. Die grüne Farbe ist darauf zurückzuführen, dass mehrere mesomere Grenzstrukturen existieren, in denen die delokalisierten π-Elektronen leicht anregbar sind und im sichtbaren Bereich der elektromagnetischen Strahlung Wellenlängen im roten Bereich absorbieren können.

Mesomere Grenzstrukturen
Mesomere Grenzstrukturen

Darstellung

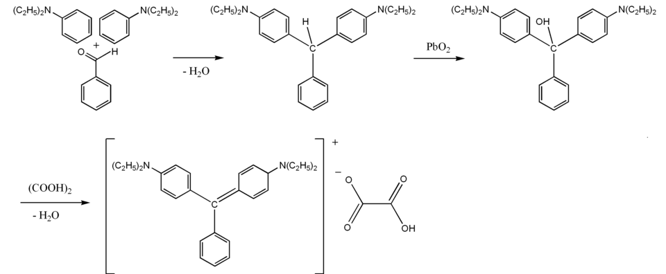
Man synthetisiert die farblose Leukobase des Brillantgrün aus N,N-Diethylanilin und Benzaldehyd in Gegenwart von Zinkchlorid oder konzentrierter Schwefelsäure. Anschließend wird mit Blei(IV)-, Mangan(VII)- oder Chrom(VI)-oxid in saurer Lösung oxidiert. Die so erhaltene Carbinolbase wird durch Erhitzen dehydratisiert und mit Schwefel- oder Oxalsäure neutralisiert. Als Antiseptikum ist das Oxalat (CAS 23664-66-6) üblich.

Synthese
Synthese

Verwendung

Brillantgrün kann zum Färben und Bedrucken von Textilien, Leder und Papier sowie in Druckfarben, Tinten, Farbbändern und Kugelschreiberpasten verwendet werden.

Brillantgrün verfügt als Oxidationsmittel über eine breite biozide Wirkung gegen Parasiten, Pilzbefall und bakterielle Infektionen. In der Veterinärmedizin war das Altarzneimittel (ohne moderne Zulassung) schon lange im Einsatz. Es wurde auch in der Teichwirtschaft und Aquaristik eingesetzt.

Mit der Ergänzungslieferung 1996 wurde Brillantgrün aus dem NRF gestrichen. Prüfzertifikate nach DAC fehlten. Bedingt durch die Synthese kann der Grünfarbstoff mit Schwermetallen verunreinigt sein. Die pharmakologisch-toxikologische Nutzen/Risiko-Abwägung fiel aufgrund lang anhaltender Probleme negativ aus.

Brillantgrün wurde auch in der Biochemie verwendet. Friedrich Loeffler verwendete die Verbindung zur Anreicherung von Typhus- und Paratyphuserregern. Das Brillantgrün-Galle-Medium dient zur selektiven Anreicherung und Zählung von coliformen Bakterien in Milch, Wasser und anderen Proben. Es ist ein mesomeriestabilisiertes quartäres Ammoniumsalz.

Seljonka

„Seljonka“-Fläschchen

In Osteuropa und den Ländern der ehemaligen UdSSR wird die alkoholische Lösung von Basic Green 1 (Solutio viridis nitentis spirituosa 1 %) als Antiseptikum verwendet. In der Umgangssprache heißt der Stoff russisch зелёнка „seljonka“.

Unter einer Seljonka-Attacke versteht man eine Form von Protest, Provokation oder gewalttätigem Angriff auf eine Person, die vorwiegend im Gesicht mit der grünen Farblösung übergossen wird. In den 2010er Jahren war dies in Russland und der Ukraine weit verbreitet. In der Folge wurde die Seljonka – und die grüne Farbe im Allgemeinen – zum Symbol des politischen Protestes in Russland.

←Nächster BeitragVorheriger Beitrag→
Am meisten gelesen - Wikipedia
  • April 06, 2026

    Selbstüberwachtes Lernen

  • April 14, 2026

    Österreichische Monarchie

  • März 26, 2026

    Rishi Sunak

  • März 26, 2026

    Sex

  • April 09, 2026

    Autobahnring München

Studio

  • Wikipedia

Newsletter Anmeldung

Kontakt aufnehmen
Kontaktieren Sie uns
© 2025 www.wikimap.de-de.nina.az - Alle Rechte vorbehalten.
Urheberrecht: Dadash Mammadov
Oben